新聞中心
產品中心
聯系我們
深圳市東么川伺服控制技術有限公司
電話:13316379101
郵箱:1355229533@qq.com
地址:深圳市龍華區民治街道樟坑社區青創城A棟B502
電機選型計算之計算直線運動方法實例
發布時間:2020-10-21 07:34:55
例 1:直線運動
已知:直線平臺水平往復運動,最大行程 L=400 mm;
往復運動周期為 T = 2s;
重復定位誤差 £ 0.02 mm;
平臺運動質量 M = 10 kg,無外力。
求:電機型號、滾珠絲桿導程。

解:
1. 運動學計算:
平均速度為:V = 0.4 /1 = 0.4 m /s
設:加速時間為 0.2 S;(步進電機一般取加速時間為:0.1~1 秒)
(伺服電機一般取加速時間為:0.05~0.5 秒)
則加減速時間共為 0.4 S,且其平均速度為最大速度的一半。
故有:L = 0.4 ¥ Vmax / 2 + 0.6 ¥ Vmax = 0.4 m
得: Vmax = 0.4 / 0.8 = 0.5 m/s
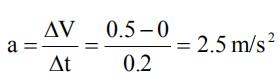
所以,加速度為:



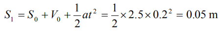
驗算:加速距離:

勻速距離:

減速距離和加速距離相同,

2. 動力學計算:
F = M a + f
摩擦力 f = m M g,因為滾珠絲桿的摩擦系數m都遠小于 0.01,故可先不考慮。導軌的摩擦系
數要查手冊,尤其是有預緊力的導軌,摩擦力是很大的。
慣性力: F = M a = 10 ¥ 2.5 = 25 N
絲桿質量相對較小,先不考慮其慣性力。
3. 絲桿導程 S 與電機類型的選擇:
已知:Vmax = 0.4 m/s;重復定位誤差 £ 0.02 mm
如果選用步進電機:
已知步進電機:最大轉速 n = 800~1200 rpm,
可靠的定位精度d = 360 o / m = 360o /200~400 = 0.9 o~1.8 o
( 電機每轉脈沖數 m = 200~400 )
因為:線速度 V = n ¥ S
所以:導程為 S = V / n = 0.4 / (1000/60) = 0.024 m/r = 24 mm/r
定位精度d = 24 / 400 = 0.06 mm
顯然,用步進電機精度不夠;或者說,步進電機速度不夠快。
如果選用交流伺服電機:
已知交流伺服電機:最大轉速 nmax = 5000 rpm,額定轉速為 n = 3000 rpm;
W 系列最高定位分辨率為:360o /217 =360o/131072=0.0027o
因為:線速度 V = n ¥ S
所以:導程為 S = V / n = 0.4 / (3000/60) = 0.008 m/r = 8 mm/r
取導程為 S = 10 mm
定位分辨率e = S / m = 10 / 131072 = 0.000076 mm
定位精度d = e ¥ 10 ª 0.001 mm
(對于伺服電機:分辨率必須比定位精度高一個數量級。)
控制器輸出脈沖頻率必須達到:
f = (3000/60) ¥ 131072 = 6553600 = 6.6 ¥ 106 Hz = 6.6 MHz
可是,Baldor 卡的最大輸出脈沖頻率為:3 MHz,所以,定位分辨率太高,也不行。
而且,即使控制器輸出頻率足夠高,該運動平臺的定位精度也不能達到 0.001 mm。
要達到微米級精度必須使用光柵尺。
設置伺服電機的電子齒輪比,
使:電機每轉脈沖數 m = S / e = 10 / 0.002 = 5000 脈沖/轉,即可
即:電子齒輪比為:131072/5000 = 26.2144。
4.電機力矩的選擇:
因為,絲桿的推力和輸入力矩的關系為:F = 2p×T / S
所以,電機的力矩為:T = F×S / 2p = 25×0.01 / 2p = 0.04 Nm
考慮到絲桿的效率、導軌的摩擦力、安裝誤差造成的各種阻力,我們要加 2~3 倍
的安全系數。
故,電機的力矩為 Tm = 0.04×3 = 0.12 Nm
選用富士 W 系列 50W AC 伺服電機,其額定輸出力矩為:0.159 Nm。
老板要工程師提高機器的效率,問:采用此電機,該平臺可以跑到多快的速度?
- 上一篇:兩相步進電機a十a一b十b一原理圖解
- 下一篇:步進電機計算旋轉運動實例方法
產品推薦:兩相步進電機
產品推薦:無刷電機
產品推薦:兩相步進驅動器
產品推薦:直流無刷驅動器




























地址 ADDRESS